Wekî beşek ji hewldanên berdewam ên desteya Hundirîn a kantona Cezîrê ji bo xizmetkirina gelê me, û ji bo hêsankirina wergirtina pasaportan û sivikkirina barên ku welatiyan di serdemên berê de, nemaze di serdema rejîma berê de, kişandine, em bang li hemî welatiyên ku navên wan di navnîşên pasaportên amade de ne dikin ku serlêdan bikin
Kesên ku hîn pasaportên xwe nestendine, divê di zûtirîn dem de serdana Desteya hundirîn ya li qamişlo bikin.
Her çend em ji we re tînin bîra xwe ku pêvajoya belavkirina pasaportan berê wekî tedbîrek îstîsnaî û xizmetek taybetî ji bo gelê me hatibû organîzekirin jî, em piştrast dikin ku ev pêvajo tenê ji bo demek sînorkirî berdewam dike, piştî wê pêvajoya belavkirinê dê bi awayekî mayînde were rawestandin
Em dixwazin destnîşan bikin ku beşek ji pasaportan vê dawiyê hatine şandin, di heman demê de tabloyên ku bi vê daxuyaniyê ve girêdayî ne, navên welatiyên ku hîn pasaportên xwe nestendine jî dihewînin. Ji ber vê yekê em ji hemû kesên ku navên wan hatine diyarkirin dixwazin ku di zûtirîn dem de bi me re têkilî dayînin
Mercên Wergirtinê:
– Xwediyê pasaportê, an xizmê wî yê pileya yekem, divê bi xwe amade be.
– Divê belgeyên fermî (nasname an pirtûka malbatê) werin anîn.
Em piştrast dikin ku pêvajoya radestkirinê bi tevahî bêpere ye û ti xerc tune.
Ev dorhêl ji bo welatiyên ku serlêdanên pasaporta xwe berî hilweşîna rejîma berê pêşkêş kirine û agahdariya ku pasaportên wan amade ne wergirtine derbas dibe
desteya Hundirîn a kantona Cezîrê, bi berpirsiyariya xwe ya xizmetkirina civakê, karê xwe didomîne û bang li hemû welatiyên têkildar dike ku hevkariyê bikin û pabendî prosedurên hatine ragihandin bibin
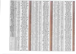
Ji kerema xwe ji bo navên mayî tabloyên pêvekirî yên li jêr binirxînin.






