في إطار الجهود المستمرة التي تبذلها هيئة الداخلية في مقاطعة الجزيرة لخدمة أبناء شعبنا، وحرصًا على تسهيل استلام جوازات السفر وتخفيف الأعباء التي عانى منها المواطنون خلال المراحل السابقة، لا سيما خلال مرحلة النظام السابق، فإننا نُهيب بكافة المواطنين الذين وردت أسماؤهم ضمن قوائم جوازات السفر الجاهزة، ولم يقوموا باستلامها حتى الآن، بضرورة مراجعة مركز هيئة الداخلية في مدينة قامشلو في أقرب وقت ممكن.
وإذ نُذكّر بأن عملية تسليم الجوازات تم تنظيمها سابقًا ضمن إجراء استثنائي وخدمة خاصة لأبناء شعبنا، فإننا نؤكد أن هذه العملية مستمرة لفترة زمنية محدودة فقط، وبعد ذلك سيتم إيقاف عملية التوزيع بشكل نهائي.
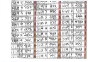
نودّ التنويه إلى أن قسماً من جوازات السفر قد تم تسليمه خلال الفترة الماضية، فيما تتضمن الجداول المرفقة في هذا الإعلان أسماء المواطنين الذين لم يستلموا جوازاتهم بعد. لذا نرجو من جميع الأسماء المذكورة مراجعتنا في أقرب وقت.
شروط الاستلام:
– الحضور الشخصي لصاحب الجواز، أو قرابه من الدرجة الأولى حصراً.
– اصطحاب الثبوتيات الرسمية (الهوية الشخصية أو دفتر العائلة).
نُؤكد أن عملية التسليم مجانية بالكامل ولا يوجد رسوم مالية.
هذا التعميم يشمل المواطنين الذين قدموا طلباتهم للحصول على جوازات السفر قبل سقوط النظام السابق وتلقّوا إشعارًا بجهوزية جوازاتهم.
إن هيئة الداخلية في مقاطعة الجزيرة تواصل عملها من منطلق مسؤوليتها في خدمة المجتمع، وتدعو جميع المواطنين المعنيين إلى التعاون والالتزام بالإجراءات المُعلنة.
يرجى مراجعة الجداول المرفقة أدناه للاطلاع على الأسماء المتبقية.






